產品中心
相關產品
中藥標準品
|
產品編號 |
英文名稱 |
CAS號 |
包裝 |
|
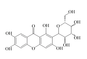
Y3886 |
Mangiferin |
4773-96-0 |
可根據客戶要求訂制 |
英文名稱:Mangiferin
CAS號:4773-96-0
分析標準品,≥98%
分子式 C19H18O11 分子量422.34

基本信息:
密度1.843
存貯條件 儲存溫度2-8℃
描述
別名 芒果苷 ;芒果甙,杧果甙;Mangiferin from Mangifera indica bark 1,3,6,7-tetrahydroxyxanthone C2-β-D-glucoside
存貯條件 儲存溫度2-8℃
描述
別名 芒果苷 ;芒果甙,杧果甙;Mangiferin from Mangifera indica bark 1,3,6,7-tetrahydroxyxanthone C2-β-D-glucoside
