產品中心
相關產品
中藥標準品
|
產品編號 |
英文名稱 |
CAS號 |
包裝 |
|
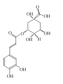
Y3760 |
Neochlorogenic acid |
906-33-2 |
可根據客戶要求訂制 |
英文名稱:Neochlorogenic acid
CAS號:906-33-2
分析標準品,≥99%
分子式 C16H18O9 分子量354.31

基本信息:
密度1.65
存貯條件 儲存溫度2-8℃
描述
別名 新綠原酸 ;5-咖啡奎寧酸,5-咖啡酰奎尼酸 ;5-Caffeoylquinic acid
存貯條件 儲存溫度2-8℃
描述
別名 新綠原酸 ;5-咖啡奎寧酸,5-咖啡酰奎尼酸 ;5-Caffeoylquinic acid
