產品中心
相關產品
中藥標準品
|
產品編號 |
英文名稱 |
CAS號 |
包裝 |
|
Y3741 |
Hederagenin |
465-99-6 |
可根據客戶要求訂制 |
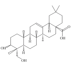
英文名稱:Hederagenin
CAS號:465-99-6
分析標準品,≥98%
分子式 C30H48O4 分子量472.70

基本信息:
密度1.14
存貯條件 儲存溫度2-8℃
描述
別名 常春藤皂苷元 ;常春藤皂甙元,(3beta,4alpha)-3,23-二羥基齊墩果-12-烯-28-酸;(3beta,4alpha)-3,23-Dihydroxyolean-12-en-28-oic acid
存貯條件 儲存溫度2-8℃
描述
別名 常春藤皂苷元 ;常春藤皂甙元,(3beta,4alpha)-3,23-二羥基齊墩果-12-烯-28-酸;(3beta,4alpha)-3,23-Dihydroxyolean-12-en-28-oic acid
