產品中心
相關產品
中藥標準品
|
產品編號 |
英文名稱 |
CAS號 |
包裝 |
|
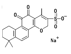
Y3727 |
Sodium Tanshinone IIA |
69659-80-9 |
可根據客戶要求訂制 |
英文名稱:Sodium Tanshinone IIA
CAS號:69659-80-9
分析標準品,≥98%
分子式 C19H17O6S Na 分子量396.393

基本信息:
密度1.209
熔點 209°C-210°C
存貯條件 儲存溫度 2-8°C
描述
別名 ;Dan Shen ketone 1,6,6-Trimethyl-6,7,8,9-tetrahydrophenanthro[1,2-b]furan-10,11-dione
