產品中心
揮發性有機化合物(VOCs)
|
產品編號 |
英文名稱 |
CAS號 |
包裝 |
|
Y0632 |
Heptachlor exo-epoxide Standard |
1024-57-3 |
可根據客戶要求訂制 |
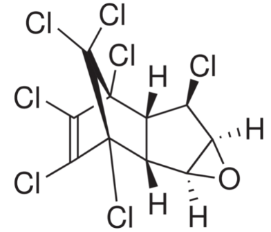
產品編號:Y0632
英文名稱:Heptachlor exo-epoxide Standard
CAS號 1024-57-3
1000μg/ml,溶于吹掃-捕集甲醇溶液中
分子式 C10H5Cl7O 分子量389.32
基本信息:
密度 0.7915
存貯條件 儲存溫度2-8℃
描述
產品介紹 殺蟲劑單一組分標準液
別名 環氧庚氯烷;環氧七氯;exo-1,4,5,6,7,8,8-Heptachloro-2,3-epoxy-4,7-?methano-3a,4,7,7a-tetrahydroindane;HCE
