產品中心
農殘、獸藥及化肥類
|
產品編號 |
英文名稱 |
CAS號 |
包裝 |
|
Y1568 |
Bispyribac-sodium |
125401-92-5 |
可根據客戶要求訂制 |
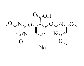
產品編號:Y1568
英文名稱:Bispyribac-sodium
CAS號: 125401-92-5
分析標準品
分子式 C19H17N4NaO8 分子量452.35

基本信息:
密度 1.337
熔點 223-224°C
描述
別名 雙草醚 ;農美利,水楊酸雙嘧啶,2,6-雙(4,6-二甲氧嘧啶基-2-氧基)苯酸鈉 ;Sodium 2,6-bis(4,6-dimethoxy-2-pyrimidinyloxy)benzoate
