產品中心
容量分析滴定液
|
產品編號 |
英文名稱 |
CAS號 |
包裝 |
|
Y0678 |
Lead acetate trihydrate standard |
6080-56-4 |
可根據客戶要求訂制 |
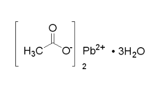
產品編號:Y0678
英文名稱:Lead acetate trihydrate standard
CAS號 6080-56-4
分析滴定液,0.05M
分子式 PbC4H6O4?3H2O 分子量379.33
基本信息:
密度4.94
存貯條件密封保存。
描述
產品介紹略帶乙酸氣味,具風化性,有毒,能吸收空氣中二氧化碳后,逐漸變成不全溶的堿式碳酸鹽,在100度時開始失去乙酸,200度以上完全分解,能溶于水和甘油,微溶于醇。
別名乙酸鉛(II) ,三水 ;三水合乙酸鉛,醋酸鉛,鉛糖;Sugar of lead; Salt of saturn; Neutral lead acetate
應用可制取各種鉛鹽、抗污涂料、水質防護劑、顏料填充劑、涂料干燥劑、纖維染色劑、重金屬氰化過程的溶劑。在醫藥、農藥、染料、涂料等工業生產中有廣泛
